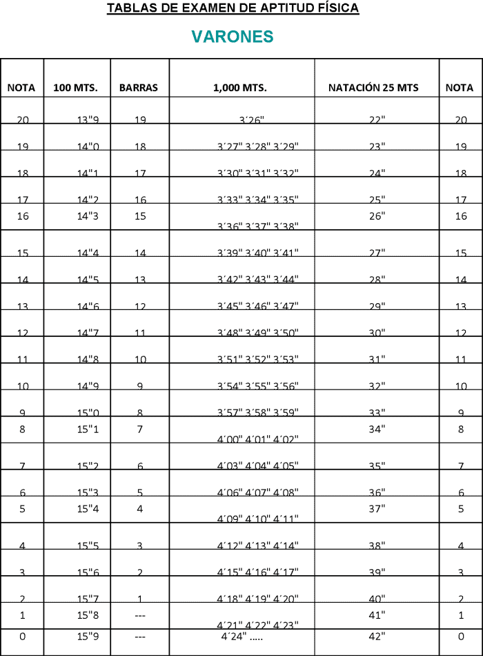
TEMARIO ESCUELA DE OFICIALES 2026 EOPNP PROCESO DE ADMISIÓN CRONOGRAMA DE INSCRIPCIÓN REQUISITOS CUESTIONARIO TEMAS DE LA PRUEBA PROSPECTO POLICÍA PERÚ PDF
El Proceso de Admisión a la Escuela de Oficiales de la Policía Nacional del Perú, es un proceso de selección entre postulantes cuya capacidad física, psíquica, intelectual y aptitud vocacional acredite la idoneidad para la formación del futuro Oficial de Policía.
- CLIC AQUÍ Ver PROSPECTO PDF
- Ver GUÍA DE INSCRIPCIÓN A LA PNP
- Ver WEB PNP
- Ver Lo de RAZONAMIENTO MATEMÁTICO RESUELTO
- Ver RAZONAMIENTO VERBAL
- Ver MATEMÁTICA
- Ver LENGUAJE
- Ver LITERATURA
- Ver HISTORIA DEL PERÚ
- Ver HISTORIA UNIVERSAL
- Ver GEOGRAFÍA
- Ver ECONOMÍA
- Ver CÍVICA
- Ver PSICOLOGÍA
- Ver FILOSOFÍA
- Ver FÍSICA
- Ver QUÍMICA
- Ver BIOLOGÍA
- Ver CULTURA GENERAL RESUELTA
- Ver TEST DE PERSONALIDAD
- Ver TEST I DE CASUÍSTICA POLICIAL
- Ver TEST II DE CASUÍSTICA POLICIAL
- Ver TEST DE INTELIGENCIA
- Ver TEST PSICOMÉTRICO I
- Ver TEST PSICOMÉTRICO II
- Ver RAZONAMIENTO ABSTRACTO
- Ver SINÓNIMOS
- Ver ANTÓNIMOS
- Ver ANALOGÍAS VERBALES
- Ver ORACIONES INCOMPLETAS
- Ver CONECTORES LÓGICOS
- Ver TÉRMINO EXCLUÍDO
- Ver PLAN DE REDACCIÓN
- Ver COMPRENSION DE LECTURA
- Ver ORTOGRAFÍA
- Ver ARITMÉTICA
- Ver ÁLGEBRA
- Ver GEOMETRÍA
- Ver TRIGONOMETRÍA
- Ver APTITUD ACADÉMICA
- Ver PSICOMÉTRICO
- Ver CULTURA GENERAL PERÚ
- Ver examen PNP Psicotécnico
- Ver clases de psicotécnico
- Ver ANATOMÍA
- Ver ZOOLOGÍA
- Ver PROSPECTO anterior PDF
TEMARIO PROCESO DE ADMISIÓN EO-PNP
APTITUD ACADÉMICA
RAZONAMIENTO VERBAL
1. Analogías.
2. Comprensión Lectora e Inferencia.
3. Oraciones Incompletas.
4. Conectores Lógicos.
5. Sinónimos.
6. Antónimos.
7. Términos Excluidos.
8. Plan de redacción.
RAZONAMIENTO MATEMÁTICO
1. Operadores Matemáticos.
2. Planteo de ecuaciones.
3. Problemas sobre edades.
4. Móviles, tiempo de encuentro, alcance.
5. Cronometría (adelantos, retrasos, horas, manecillas, campanadas, calendarios).
6. Razones y Proporciones.
7. Fracciones.
8. Porcentajes.
9. Método del rectángulo, Falsa suposición, Rombo, Cangrejo, Regla conjunta.
10. Razonamiento Lógico, transmisiones, cerillas, parentesco, relación de tiempo, construcciones.
11. Series y sumatorias (numérica, aritmética, geométrica, principales series y sumas notables)
CONOCIMIENTOS
ÁREA DE MATEMÁTICAS
ARITMÉTICA
1. Sistema de los números naturales (N)
► Adición; Sustracción; Multiplicación; Potenciación; División.
► Sistema de numeración decimal
► Divisibilidad. Números primos y compuestos
► Máximo Común Divisor; Mínimo Común Múltiplo.
► Ecuaciones e inecuaciones.
2. Sistema de los números enteros (Z)
► Adición; Sustracción; Multiplicación; Potenciación; División.
► Radicación.
► Relación menor y mayor.
► Ecuaciones e inecuaciones.
3. Sistema de los números racionales (Q)
► Adición; Sustracción; Multiplicación; División, Radicación
► Potenciación con exponente entero.
► Inverso de un número racional no nulo.
► Números fraccionarios.
► Ecuaciones e inecuaciones.
4. Sistema de los números reales (R)
► Expresiones decimales no periódicas y números irracionales.
► Adición; Sustracción; Multiplicación; Potenciación; División. Radicación.
► Razones y proporciones aritméticas y geométricas.
► Regla de tres simple y compuesta; porcentaje. Regla de interés y de mezcla.
ÁLGEBRA
1. Polinomios
► Monomios y polinomios. Adición y sustracción de polinomios.
► Productos notables.
► Multiplicación y división de polinomios.
► Cocientes notables
► Factorización. Ecuaciones lineales y cuadráticas.
2. Sistema de ecuaciones lineales
► Sistema de ecuaciones lineales con dos y tres variables.
► Sistema de ecuaciones de segundo grado con una incógnita.
3. Funciones y progresiones
► Operaciones con fracciones algebraicas (suma, resta, multiplicación y división).
► Funciones algebraicas: Lineal afín; cuadráticas; raíz cuadrada; valor absoluto y máximo entero.
► Sucesiones. Progresiones aritméticas y geométricas.
4. Radicación, teoría de exponentes y radicales
► Radicación.
► Teoría de exponentes.
► Radicales.
GEOMETRÍA Y MEDIDA:
► Operaciones con segmentos (suma y sustracción).
► Suma de los ángulos internos. Perímetro. Área de polígonos regulares. Resolución de problemas.
► Trapecio: Ángulos, segmentos y su medición. Clases de ángulos. Bisectriz de un ángulo.
► Circunferencia y círculo. Ángulos en el círculo. Circunferencia inscrita y circunscrita.
1. Figuras y ángulos
► Mediatriz y bisectriz.
► Triángulos simétricos respecto de un eje.
► Rectas paralelas y perpendiculares.
► Ángulos opuestos por el vértice y ángulos adyacentes.
► Suma de ángulos en el triángulo. Ángulos exteriores en el triángulo.
► Ángulos determinados por dos rectas paralelas y una recta que las interseca.
► Relaciones angulares en un triángulo. Ángulos formados por las bisectrices de un triángulo.
2. Semejanza de triángulos, áreas de regiones poligonales y circulares.
► Segmentos proporcionales. Segmentos congruentes determinados por dos rectas que intersecan a dos rectas paralelas.
► Teorema de Thales.
► Semejanza de triángulos. Líneas notables en el triángulo. Relaciones métricas en un triángulo.
► Teorema de Pitágoras.
► Relaciones métricas en el círculo.
► Áreas de regiones poligonales y circulares.
TRIGONOMETRÍA
Razones trigonométricas.
► Razones trigonométricas de ángulos agudos, notables y complementarios.
► Identidades pitagóricas, inversas y por cociente.
► Circunferencia trigonométrica. Ángulo en posición normal. Razones trigonométricas de un ángulo en posición normal; de ángulos de 0°; 90°; 180°; 270°; y 360°. Ángulos coterminales.
► Razones trigonométricas de ángulos negativos. Reducción al primer cuadrante.
► Razones trigonométricas de la suma y diferencia de ángulos.
► Funciones trigonométricas.
AREA DE COMUNICACIÓN
1. Comunicación escrita.
► Los signos de puntuación.
► Acentuación general, Clases de palabras por la ubicación del acento.
► La oración gramatical. Concordancia entre sustantivo y adjetivo; entre sujeto y verbo.
► El verbo. Formas verbales simples y compuestos. Preposiciones y conjunciones.
► Palabras sinónimas; homónimas; antónimas.
2. Literatura.
► La narración. Estructura y elementos.
► La novela y el cuento modernos.
► La lírica. El teatro. Características. Teatro peruano contemporáneo. Textos literarios.
► Literatura peruana e hispanoamericana en el contexto mundial.
► La literatura española y universal y sus vínculos con la literatura peruana e hispanoamericana.
► Textos literarios, representantes del romanticismo y el realismo.
AREA DE CIENCIAS SOCIALES:
HISTORIA DEL PERÚ EN EL CONTEXTO MUNDIAL
1. Primeras sociedades
► Proceso de hominización.
► Revolución neolítica
2. Culturas antiguas de Oriente
► Culturas del cercano y lejano oriente.
► Desarrollo cultural en América, la Amazonía y los Andes hasta el siglo XI
► Poblamiento de América.
► Origen y formación de la cultura andina.
► Sociedades andinas hasta el segundo Intermedio
► Desarrollos culturales en la Amazonía.
3. Civilizaciones clásicas de Occidente
► Grecia y Roma. Aportes más significativos.
4. Cultura Andina y América Prehispánica del siglo XV
► Tahuantinsuyo; evolución; organización e importancia. Procesos culturales de América en los siglos XV y XVI.
5. América y el mundo: siglo XVI
► Empresas de expedición: Antillas y México. Impacto inicial de la conquista.
► Conquista del Tahuantinsuyo.
6. Orden colonial en el Perú: cambios y permanencias
► Toledo y el ordenamiento del Virreinato.
► Instituciones políticas, cultura y política.
► Estamentos y castras: asimilación; adaptación y confrontación.
7. Europa, América y el Perú en el siglo XVIII
► Revoluciones burguesas: Independencia de las trece colonias. Revolución Francesa.
► Los conflictos sociales y los movimientos indígenas.
► Rebeliones internas en el Perú. Crisis española. Juntas de Gobierno y Cortes de Cádiz.
► Movimientos continentales y la Independencia del Perú.
8. América Latina y el Perú hasta la reconstrucción nacional
► Relaciones en América; alianzas, conflicto e integración.
► Ocupación de la Amazonía.
► Situación interna de Perú, Bolivia y Chile. Guerra con Chile.
SEGUNDO MILITARISMO Y RECONSTRUCCIÓN NACIONAL.
Siglo XX: Perú y el Mundo
► Partidos de masas. Ideologías en el Perú, América y el mundo.
► Revoluciones políticas y conflictos internacionales en la primera mitad del siglo XX.
► Consecuencias de la Segunda Guerra Mundial en el Perú, América Latina y el mundo.
► América Latina; movimientos sociales y reformas.
► Crisis económica, social y política de los años ochenta en Perú, América Latina y el mundo.
► Participación de la mujer en los Procesos políticos.
► Movimientos subversivos y Procesos de pacificación en el Perú.
► Nuevo orden mundial y globalización.
► Economía en el Perú y el mundo, de 1990 a la actualidad.
ESPACIO GEOGRÁFICO, SOCIEDAD Y ECONOMÍA.
1. Calidad ambiental.
► Espacio geográfico. Geo sistema y representación del espacio geográfico.
► Desarrollo sostenible y equilibrio ecológico.
► Ecosistemas en el Perú. Impacto sobre el espacio nacional.
► Parques, santuarios y reservas nacionales.
► Principales ecosistemas en el mundo y desarrollo sostenible.
► Depredación, contaminación; desertificación y calentamiento.
► Ecosistemas, tecnología y desarrollo sostenido.
► Planes de desarrollo regional
► Conservación de los ecosistemas en el Perú.
► La Amazonía como reserva de biodiversidad en el mundo.
► Estado y política de conservación.
2. Calidad de vida.
► Dinámica poblacional y sus efectos socioculturales.
► Tradiciones, costumbres y diversidad en el mestizaje cultural local.
► Migraciones y sus consecuencias en la distribución del espacio.
► Gestión de riesgos en el campo y la ciudad.
► Población y calidad de vida. Población y migraciones
► Sectores productivos en el Perú. Empleo; subempleo y desempleo.
► Descentralización y oportunidades.
3. Desarrollo y Economía
► Necesidades de la población. Índice de desarrollo humano.
► Centralización; regionalización y descentralización.
► Patrones culturales en el Perú y los Procesos orientados a la formación de una cultura favorable al desarrollo sostenido.
► Fronteras; integración regional y convenios de cooperación latinoamericanos.
► Globalización de la economía. Relaciones norte-sur.
► Crecimiento y desarrollo. Indicadores de desarrollo humano. Inversión extranjera. Ventajas comparativas y competitivas en el mercado internacional.
► Mercados regionales del Perú y su proyección hacia los países vecinos.
► Redes viales. Características, tipos e importancia para el desarrollo.
► Organización política y administrativa del territorio peruano. Límites y problemas territoriales.
AREA DE PERSONA, FAMILIA Y RELACIONES HUMANAS CIUDADANÍA
1. Diversidad cultural y social:
► Formas de convivencia social en la vida cotidiana y en espacios públicos y privados.
► Cultura de Paz. Diálogo y negociación. Resolución pacífica de conflictos.
► Familia. Grupos. Liderazgo.
► Cultura, género y roles. Estereotipos, machismo, feminismo.
► Cultura de la legalidad. Lucha contra el crimen organizado. La delincuencia y la corrupción. ► Democracia y Estado de Derecho.
► Discriminación; exclusión y problemas de convivencia en el Perú.
► Violencia y conflicto interno en el Perú contemporáneo.
2. Derechos y Responsabilidades:
► Derechos Humanos. El Código de los Derechos del Niño y del Adolescente.
► Democracia. Libertad. Justicia. Bien individual y bien común.
► Constitución y leyes.
► Dignidad humana. La solidaridad.
► Derechos y los problemas éticos actuales.
► Ética y medios de comunicación.
3. Organizaciones:
► Organizaciones civiles locales, regionales y escolares.
► Defensa Civil. Gobierno y Estado. Sistema de Defensa Nacional.
► Sistemas de gobierno democrático y autoritario.
► Declaración de los derechos del hombre. Las tres generaciones de derechos.
► Organismos internaciones de Derechos Humanos y la paz mundial.
► Estado Peruano. Poderes, organización y funciones.
► Ética Pública. Código Civil y Código Penal.
► Partidos políticos como mediadores entre el Estado y la sociedad.
4. Formación Ciudadana:
► Ciudadanía.
► Participación ciudadana: elecciones; partidos políticos; organizaciones sociales.
► Condiciones para la adquisición de la nacionalidad y la ciudadanía.
► Seguridad ciudadana y cultura de paz.
IDENTIDAD Y PERSONALIDAD
1. Adolescencia:
► Pubertad y adolescencia. Sentimientos y frustraciones.
► Identidad personal y nacional. Normas sociales.
► El cambio de patrones culturales. La identidad cultural.
2. Autoconocimiento:
► Autoestima y autocuidado.
► Voluntad y motivación. Empatía y asertividad.
► Autorregulación.
► Dilemas morales.
► Socialización e individualización.
► Juicio crítico.
► Autovaloración.
► Autonomía moral.
► Autenticidad.
3. Sexualidad y género:
► Comportamiento sexual adolescente.
► Mitos y creencias sobre el sexo.
► Toma de decisiones sobre la sexualidad.
4. Vínculo familiar:
► Funciones de la familia.
► Violencia familiar.
► Convivencia armoniosa.
AUTOFORMACIÓN E INTERACCIÓN
1. Uso del tiempo:
► Intereses y habilidades. Escala de valores. Proyecto de vida.
► Proyectos personales y colectivos.
2. Aprendizaje:
► Memoria, atención y percepción.
► Clima afectivo. Trabajo cooperativo.
► Inteligencia múltiple. Inteligencia emocional.
3. Cultura de prevención:
► Uso indebido de drogas.
► Estilo de vida saludable.
► Agresividad y violencia. Resiliencia.
FORMACIÓN FILOSÓFICA
Problematización filosófica de la experiencia:
► Las grandes preguntas de la vida (lo absoluto; el mundo; el hombre).
► Ética y política.
► Las condiciones de la convivencia.
► El conocimiento como problema.
AREA CIENCIA, TÉCNOLOGIA Y AMBIENTE ÁREA DE CIENCIA Y TECNOLOGÍA
1. Mundo Físico, Tecnología y Ambiente:
► Materia y energía. Propiedades de la materia. Fuentes de energía y conservación del ambiente.
► El sistema solar. Planeta Tierra. Rocas y minerales.
► Teorías sobre el origen y evolución del universo.
► Análisis dimensional y análisis vectorial (magnitudes, ecuaciones dimensionales, operaciones con vectores, descomposición rectangular).
► Cinemática (MRU, MRUV, caída libre, movimiento parabólico y MCU).
► Trabajo, potencia y energía (trabajo y potencia mecánica, formas usuales de energía).
► Tabla periódica (clasificación, ley periódica, familias, propiedades de la tabla periódica).
► La química del carbono. Propiedades. Aplicaciones de los compuestos y derivados del carbono.
► Los Procesos físico – químicos y los sistemas biológicos.
► Composición química de los seres vivos. Compuestos orgánicos (carbohidratos; lípidos; proteínas, ácidos nucleicos) y compuestos inorgánicos (agua y sales minerales).
► Leyes de Newton y el desarrollo tecnológico.
► Primera y segunda condición de equilibrio.
2. Mundo viviente, Tecnología y Ambiente:
► Los reinos de la naturaleza. Los seres uni y pluricelulares.
► Factores bióticos y abióticos en los ecosistemas.
► Los vegetales y la fotosíntesis. Invertebrados y vertebrados.
► La célula. Estructura celular. Intercambio de materiales de la célula con el ambiente.
► Los microorganismos. Moléculas biológicas. Macromoléculas biológicas.
► Energía de los combustibles. Petróleo; gasolina; kerosene y gas natural.
► Niveles de organización de la materia viva. Nivel molecular; celular; orgánico; población.
► Reproducción humana. Continuidad genética. El ADN. El código genético.
► Genoma humano. Biotecnología. La clonación.
3. Salud Integral, Tecnología y Sociedad:
► Factores que afectan el equilibrio ecológico.
► Efectos de las radiaciones solares en la salud.
► Los fenómenos naturales y el cambio climático. El smog; la tala de bosques; productos industriales.
► Estilos de vida saludables. Seguridad e higiene ambiental.
► El efecto invernadero y la capa de ozono.
► Explotación racional de los recursos naturales y conservación de los ecosistemas.
► Calentamiento global. Factores asociados a la variación climática.
► Los sistemas electrónicos y su aplicación en tratamientos médicos preventivos
“Sera siempre un pronóstico feliz para el afligido, y que a su presencia el que se creía cercado de asesinos, se vea libre de ellos; el que tenía su casa presa de las llamas, considere el incendio apagado; el que veía a su hijo arrastrado por la corriente de las aguas, lo crea salvado; y por último, siempre debe velar por la propiedad y seguridad de todos”.
SI TIENES VOCACIÓN DE SERVICIO, TÚ PUEDES PERTENECER A LA POLICÍA NACIONAL DEL PERÚ
PROCESO DE ADMISIÓN A LA ESCUELA DE OFICIALES PNP LA ESCUELA NACIONAL DE FORMACIÓN PROFESIONAL POLICIAL
1. Mediante resolución de la comandancia general de la policía nacional N° 334-2021—CG PNP/ENFPP , se autorizó el proceso de admisión a la unidad académica de pregrado (escuela de oficiales pnp) – promoción 2023, considerando la siguiente
TALLA:
VARONES 1.70 m.
DAMAS 1.66 m.
2. En tal sentido, la preinscripcion de los postulantes se realizarán desde LA PÁGINA WEB SIPROAD (https://sinpol.pnp.gob.pe/siproad/preinscripcion).
3. Los requisitos, beneficios y comunicados con relación al proceso, se podrán visualizar de forma gratuita en la página oficial de la PNP (https://www.policia.gob.pe/), no se deje sorprender por personas inescrupulosas, ajenas al proceso, con el cuento del “ingreso seguro”, “que los puedan apoyar para aprobar algún examen”, “que pretendan ayudarlos en su inscripción”, ó “cualquier otra situación que le permita obtener alguna ventaja en relación al resto de postulantes”.
UNIDAD DE ADMISION E INFORMES DE LA ENFPP – PNP
El Proceso de Admisión 2023 a la EO PNP, estará sujeto a las normas y disposiciones que emita el Supremo Gobierno en cuanto a la Emergencia Sanitaria y Estado de Emergencia a consecuencia del COVID-19, pudiendo este suspenderse y/o prolongarse.
Pueden postular todos los peruanos que cumplan los requisitos exigidos en el presente prospecto, sin distinción de raza, religión, condición social o económica.
REQUISITOS PARA LA ESCUELA DE OFICIALES PNP
⏩Ser soltero (a), y no tener hijos.
⏩Ser peruano(a) de nacimiento (haber nacido en el territorio peruano).
⏩No registrar antecedentes policiales, penales ni judiciales.
⏩Contar con la constancia de aptitud de evaluación médica expedida por la Dirección de Sanidad de la PNP.
⏩Acreditar haber concluido satisfactoriamente estudios de educación secundaria en instituciones educativas del país o del extranjero, en cuyo caso su respectivo certificado de estudios deberá estar convalidado por el Ministerio de Educación del Perú.
⏩Cumplir con la talla mínima establecida y peso que le corresponde conforme a la tabla antropométrica autorizada por la Dirección de la Sanidad
Varones 1.72 m
Damas 1.68 m
⏩Tener entre 17 y 22 años de edad, computados al 31 de diciembre del año del proceso , en caso de menores de edad deberá contar con la AUTORIZACIÓN DEL PADRE, MADRE Y/Ó APODERADO debidamente legalizado por Notario
⏩No haber sido separado (a), ni expulsado (a) de ningún centro o institución de educación secundaria o superior, Ó de algunas de las Escuelas de Formación de las Fuerzas Armadas , las Escuelas de Pre grado de la PNP, ó SERVICIO MILITAR VOLUNTARIA , por medida disciplinaria ó deficiencia PSICOFISICA , ó baja por las causales mencionadas.
⏩Los postulantes provenientes de las Escuelas de Formación Superior Técnico Profesional de la PNP y sus equivalentes de las Fuerzas Armadas, podrán postular hasta los 24 años de edad computados al 31 diciembre del año de finalización del proceso de admisión.
⏩Los Sub Oficiales de la PNP y sus equivalentes de las Fuerzas Armadas, podrán postular hasta los 25 años de edad, computados al 31 DIC del año de finalización del proceso de admisión.
⏩No podrán postular los estudiantes, personal policial y de las Fuerzas Armadas, si se encuentran sometidos a procesos de investigación disciplinaria. (Declaración jurada simple) .
⏩Los postulantes deberán firmar los formatos establecidos en la carpeta del postulante , qué se descargará del SIPROAD y serán proporcionados por la EO - PNP ; los cuales deberán ser suscritos y firmados .
El Proceso se inicia con la pre inscripción del interesado y finaliza con la publicación del Cuadro de Mérito. Se realizará a través de un concurso público de méritos a cargo del Comité de Admisión de la Escuela de Oficiales, de acuerdo a las vacantes establecidas por la Comandancia General de la Policía Nacional del Perú, regido por la normativa que expide la Dirección de la Escuela Nacional de Formación Profesional Policial
Los postulantes deberán presentar todos los documentos exigidos (certificados de antecedentes policiales, penales, judiciales, certificados de estudios de educación secundaria, documentos que sustenten beneficios y otros) después de haber sido declarado APTO en el Examen Médico, al no presentar la documentación establecida, el postulante no podrá inscribirse para continuar con el Proceso de Admisión .
Los cuadernillos de preguntas de los exámenes Psicométrico y Aptitud Académica Conocimientos, serán incinerados al término de los mismos y las tarjetas de respuestas se incinerarán después de la lectura óptica, levantándose las respectivas actas en presencia de personal de lnspectoría General.



