EXAMEN PNP 2026 APTITUD ACADÉMICA SUBOFICIALES ADMISIÓN ESCUELA DE LA POLICÍA NACIONAL DEL PERÚ SOLUCIONARIO PDF
PREGUNTA 1 :
En la siguiente sucesión establezca el elemento que debe ir en la posición X.
2 ; 6 ; 12 ; X ; 30 ; 42 ; 56
A) 18
B) 20
C) 22
D) 24
E) 26
RESOLUCIÓN :
Rpta. : "B"
PREGUNTA 2 :
Calcule el número de cubos que construye el sólido mostrado.
A) 18
B) 19
C) 20
D) 21
E) 22
PREGUNTA 3:
¿Cuál de las alternativas muestra el correcto despliegue?
RESOLUCIÓN :
Rpta. : "C"
PREGUNTA 4:
Pedro tiene el triple de lo que tiene Pablo, si entre ambos tienen S/. 32 ¿Cuánto tiene Pablo?
A) 24 soles
B) 16 soles
C) 8 soles
D) 12 soles
E) 14 soles
RESOLUCIÓN :
Pedro: 3x
Pablo: x
Entre ambos : 4x=32 ⇒ x=8
Rpta.: "C"
PREGUNTA 5:
Saúl, Aníbal y Marco son médicos. Dos de ellos son cardiólogos y uno es pediatra. Aníbal y marco afirman que uno de ellos es cardiólogo y el otro pediatra, por lo que podemos deducir que
A) Aníbal y Marco son pediatras.
B) Aníbal y Marco son cardiólogos
C) Saúl es cardiólogo.
D) Saúl es pediatra.
E) Aníbal es cardiólogo y pediatra.
RESOLUCIÓN :
Si de Aníbal y Marco se sabe que uno es cardiólogo y el otro pediatra Falta un cardiólogo que debe ser Saúl .
Rpta.: "C"
PREGUNTA 6:
Hace x años Rubén tenía 28 años, dentro de 3x años tendrá 44 años. ¿Cuántos años tiene actualmente?
A) 54
B) 32
C) 52
D) 42
E) 60
RESOLUCIÓN :
Hace “x” años : 28
Hoy : 28+x
Dentro de “3x” años : 28 + 4x
⇒ 28+4x = 44
⇒ x=4
⇒ Hoy: 28 + 4=32
Rpta.: "B"
PREGUNTA 7:
La figura muestra dos vistas de un cubo. Si en una de las caras no visibles tiene dibujada una carita feliz , indique el símbolo en la cara opuesta.
A) Sin símbolo
B) El cuadrado
C) El triángulo
D) La estrella
E) La circunferencia
RESOLUCIÓN :
Se aprecia 2 vistas de un mismo cubo , trasladando una con respecto a la otra :
Según el desarrollo del sólido, la figura que se le opone a la carita feliz es el cuadrado.
Rpta.: "B"
PREGUNTA 8:
El número de alumnos de un salón pueden ubicarse en filas de 9, pero si se pone 2 alumnos menos en cada fila, habría que poner 2 filas más. ¿Cuántos alumnos hay?
A) 52 alumnos
B) 63 alumnos
C) 68 alumnos
D) 70 alumnos
E) 76 alumnos
RESOLUCIÓN :
N° de alumnos en cada fila: 9
N° de Filas: x
Total de alumnos: 9x
2 menos por fila : 7
N° de Filas: x+2
Total de alumnos: 9x=7(x+2) ⇒ x=7
Total de alumnos: 9(7) = 63
Rpta.: "B"
PREGUNTA 9:
Luis decide gastar cierta cantidad de dinero por la adquisición de 5 kg de manzanas, y se da cuenta que si hubiera adquirido 7kg más, habría gastado 28 soles más. ¿Cuántos soles gastó Luis?
A) 15 soles
B) 20 soles
C) 22 soles
D) 25 soles
E) 30 soles
RESOLUCIÓN :
Kilogramos D.P. Precio
5 x
12 x+28
⇒ 5(x+28)=12x
⇒ x=20
Rpta.: "B"
PREGUNTA 10:
¿Cuántos árboles hay en un campo triangular que tiene 10 árboles en cada lado y un árbol en cada esquina?
A) 30
B) 33
C) 29
D) 27
E) 10
RESOLUCIÓN :
Rpta.: "E"
PREGUNTA 12:
¿Cuál de los sólidos forma la figura desplegada?
RESOLUCIÓN :
Rpta. : "B"
PREGUNTA 13:
Para satisfacer sus deseos de fumar, un mendigo recoge colillas, y con 4 de ellas hace un cigarrillo. Si ayer sólo conseguir 25 colillas. ¿Cuál es la máxima cantidad de cigarrillos que pudo fumar?
A) 7 cigarrillos
B) 8 cigarrillos
C) 9 cigarrillos
D) 4 cigarrillos
E) 6 cigarrrillos
RESOLUCIÓN :
25 colillas= 4(6)+1, hasta ahora fumaste 6 cigarros
Ahora queda= 7 colillas= 4(1)+3, un cigarro más.
Por ultimo queda= 4 colillas= 4(1), y por ultimo un cigarro más
Cigarros totales: 8
Rpta.: "B"
PREGUNTA 14:
En un corral hay conejos y gallinas; si el doble de ojos es 20 menos que el doble de patas ¿Cuántos conejos hay?
A) 2
B) 1
C) 3
D) 7
E) 5
RESOLUCIÓN :
G: Gallinas
C: Conejos 2(2G + 2C) = 2( 2G+4C) – 20
⇒ 4G + 4C = 4G + 8C – 20
⇒ – 4C = – 20
⇒ C = 5
Rpta.: "E"
PREGUNTA 16:
Indique la figura discordante:
Rpta. : "B"
PREGUNTA 18:
Indica el cuadrado que reemplace a X
RESOLUCIÓN :
Rpta. : "D"
PREGUNTA 19:
En la siguiente figura, indique el símbolo que reemplaza al signo de interrogación.
Rpta. : "C"
PREGUNTA 20:
Usando 343 cubos pequeños de 2 cm, por lado, se forma un solo cubo. Indique la longitud del lado del cubo grande en centímetros.
A) 6
B) 7
C) 8
D) 14
E) 16
RESOLUCIÓN :
Tema: Conteo de figuras
Se pide la longitud del lado del cubo grande.
Sea n el número de cubitos (de 2 cm) por arista del cubo grande.
Entonces n³=343 → n=7
Por lo tanto, la longitud de lado del cubo grande es 7×2 cm=14 cm
Rpta. : "D"
PREGUNTA 21:
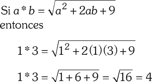
En R definimos la operación matemática representada por * mediante
Determine el valor de 1* 3.
A) 1
B) 2
C) 3
D) 4
E) 5
RESOLUCIÓN :
Rpta. : "D"
PREGUNTA 22:
Manuel está al noreste de José.
Ernesto está al sureste de Manuel y al este de José.
¿Cuál de las siguientes afirmaciones es correcta?
I. Manuel está al noreste de Ernesto.
II. José está al oeste de Ernesto.
III. José está al este de Ernesto.
A) I
B) II
C) III
D) I y III
E) II y III
RESOLUCIÓN :
Tema: Razonamiento lógico
Rpta. : "B"
PREGUNTA 23:
A) 4
B) 5
C) 6
D) 7
E) 8
RESOLUCIÓN :
Tema: Razonamiento deductivo
Rpta. : "C"
PREGUNTA 24:
Determine el valor de x en el conjunto ordenado
4 ; 56 ; 92 ; x ; 180
A) 108
B) 118
C) 124
D) 128
E) 147
RESOLUCIÓN :
Rpta. : "D"
PREGUNTA 25:
Si el día de mañana fuese como pasado mañana, entonces faltarían dos días a partir de hoy para ser domingo. ¿Qué día de la semana será el mañana del ayer de hoy?
A) miércoles
B) jueves
C) viernes
D) sábado
E) domingo
RESOLUCIÓN :
Tema: Situaciones lógicas
Rpta. : "B"
- CLIC AQUÍ Ver EXAMEN ADMISIÓN SUBOFICIALES PNP
- Ver RESPUESTAS DEL EXAMEN
- Ver TEMAS DEL EXAMEN DE ADMISIÓN PNP
- Ver PROSPECTO GUIA DEL POSTULANTE
- Ver TEST DE PERSONALIDAD
- Ver TEST I DE CASUÍSTICA POLICIAL
- Ver TEST II DE CASUÍSTICA POLICIAL
- Ver TEST DE INTELIGENCIA
- Ver EXAMEN PSICOMÉTRICO I
- Ver EXAMEN PSICOMÉTRICO II
- Ver EXAMEN RAZONAMIENTO RESUELTO PNP
- Ver PSICOTÉCNICO RAZONAMIENTO ABSTRACTO
- Ver CULTURA GENERAL TEST RESUELTO
- Ver CULTURA GENERAL TEST CON RESPUESTAS AL FINAL
- Ver CULTURA GENERAL EN PERÚ
- Ver RAZONAMIENTO MATEMÁTICO RESUELTO
- Ver COMPRENSIÓN DE TEXTOS RESUELTOS
- Ver TEST DE RAZONAMIENTO MATEMÁTICO CON RESPUESTAS AL FINAL
- Ver RAZONAMIENTO VERBAL
- Ver COMPRENSION DE LECTURA RESUELTA
- Ver ANALOGÍAS VERBALES
- Ver ORACIONES INCOMPLETAS
- Ver CONECTORES LÓGICOS
- Ver SINÓNIMOS
- Ver ANTÓNIMOS
- Ver TÉRMINOS EXCLUIDOS
- Ver PLAN DE REDACCIÓN
- Ver ARITMÉTICA
- Ver ÁLGEBRA
- Ver GEOMETRÍA
- Ver TRIGONOMETRÍA
- Ver FÍSICA
- Ver QUÍMICA
- Ver BIOLOGÍA
- Ver LENGUAJE
- Ver LITERATURA
- Ver HISTORIA DEL PERÚ
- Ver HISTORIA UNIVERSAL
- Ver GEOGRAFIA
- Ver PSICOLOGÍA
- Ver CÍVICA
- Ver FILOSOFÍA
- Ver LÓGICA
- Ver ECONOMÍA
- Ver examen PNP Razonamiento Verbal SOLUCIONARIO
- Ver examen PNP Historia
- Ver examen PNP Geografía
- Ver examen PNP Literatura
- Ver examen PNP Lenguaje
- Ver examen PNP Psicología
- Ver examen PNP Cívica
- Ver examen PNP Filosofía
- Ver examen PNP Psicotécnico
- Ver examen PNP clases de psicotécnico
PREGUNTA 1:
Calcular el valor del área de la región sombreada , si la figura mostrada es un cuadrado:
A) 48 cm²
B) 30 cm²
C) 36 cm²
D) 72 cm²
E) 24 cm²
Rpta.: "C"
PREGUNTA 5:
En la sucesión:
4 ; 10 ; 16 ; 22 ; ? ; 34
Calcule el número que falta
A) 31
B) 28
C) 30
D) 35
E) 26
Rpta.: "C"
PREGUNTA 6:
Indicar que número continua en:
2; 5; 11; 20; …
A) 28
B) 30
C) 36
D) 31
E) 32
Rpta.: "E"
PREGUNTA 9:
Indicar el número que sigue en :
81 ; 27 ; 9 ;...
A) 1
B) 3
C) 2
D) 6
E) 0
Rpta.: "B"
PREGUNTA 10:
Indicar el número que sigue en :
1 ; 1 ; 2 ; 4 ; 7 ; 11;..
A) 16
B) 18
C) 20
D) 12
E) 24
Rpta.: "A"
PREGUNTA 11:
Calcule:
(13!+14!+15! ) ÷ (13!×15)
A) 14
B) 15
C) 16
D) 17
E) 24
Rpta.: "B"
PREGUNTA 12:
Para cortar un aro en cinco partes iguales, ¿cuántos cortes se deben realizar?
A) 5
B) 4
C) 2
D) 1
E) 6
Rpta.: "A"
PREGUNTA 13:
Se tienen 600 cascos para ser distribuidos en partes iguales a un grupo de estudiantes de Edificaciones. Si se retiran 5, los restantes reciben 4 cascos más. ¿Cuántos estudiantes de Edificaciones había inicialmente?
A) 40
B) 20
C) 23
D) 25
E) 30
Rpta.: "A"
PREGUNTA 14:
Dentro de 6 años tendré el triple de la edad que tenía hace 14 años. ¿Cuál es mi edad actual?
A) 21
B) 30
C) 28
D) 24
E) 36
Rpta.: "D"
PREGUNTA 15:
Halle x en :
18 ; 3 ; 15 ; 19 ; x
A) 17
B) 16
C) 20
D) 12
E) 18
Rpta.: "B"
PREGUNTA 16:
Si 10 hombres pueden hacer una porción de trabajo en 20 días. ¿Qué tiempo le tomará a 8 hombres hacer el mismo trabajo si ellos trabajan al mismo tiempo?
A) 24
B) 28
C) 30
D) 26
E) 25
Rpta.: "E"
PREGUNTA 17:
¿De qué número es 128 el 36% menos?
A) 120
B) 180
C) 240
D) 400
E) 200
Rpta.: "E"
PREGUNTA 18:
Si una tubería de 12 cm de radio arroja 360 L/min de agua. ¿En qué tiempo llenará un depósito de 96 m³ otra tubería de 16 cm de radio?
A) 180 min
B) 130 min
C) 150 min
D) 140 min
E) LL
Rpta.: "C"
PREGUNTA 19:
Si al doble de tu edad se le quita 28 años, se obtiene lo que te falta para obtener 50 años. ¿Cuál sería tu edad dentro de 15 años?
A) 23
B) 26
C) 15
D) 41
E) 48
Rpta.: "D"
PREGUNTA 20:
Una urna contiene 5 bolas blancas y 3 negras; otra contiene 6 bolas blancas y 4 negras. Si se extrae al azar una bola de cada urna. Hallar la probabilidad de que ambas sean de color blanco.
A) 2/5
B) 1/8
C) 3/8
D) 4/7
E) 8/9
Rpta.: "C"
PREGUNTA 21:
Si solo el radio de un cono se incrementa en 10%. ¿En qué porcentaje varía su volumen?
A) 24%
B) 23%
C) 30%
D) 25%
E) 21%
Rpta.: "E"
PREGUNTA 22:
Si cada cubito de la figura tiene 1cm de arista, ¿cuántos cubitos faltarán en la figura para formar un cubo de 4cm de arista?
A) 10
B) 54
C) 17
D) 44
E) 8
Rpta.: "B"
PREGUNTA 23:
Un artículo se vendió en S/ 1416 incluido el IGV (18%). ¿Cuál sería su precio si no se incluyera este impuesto?
A) S/ 1000
B) S/ 1200
C) S/ 3000
D) S/ 2800
E) S/ 1800
Rpta.: "B"
PREGUNTA 24:
Si 13/4 metros de tela cuestan 39 soles. ¿Cuánto costarán 5 metros de tela?
A) S/.60
B) S/.195
C) S/.47,5
D) S/.65
E) S/.45
Rpta.: "A"
PREGUNTA 25:
Si la edad de Manuel es los 2/3 de los 7/4 de 24. ¿Cuál es la edad de Manuel?
A) 21
B) 24
C) 30
D) 32
E) 28
Rpta.: "E"
PREGUNTA 26:
Un depósito puede llenarse por un tubo en 2 horas y por otro en 3 y vaciarse por uno de desagüe en 4 horas. El depósito se llenará con los tres tubos abiertos en:
A) 1 h.
B) 15/7 h.
C) 10 h.
D) 11/7 h.
E) 12/7 h.
Rpta.: "E"
PREGUNTA 27:
Escoja entre las alternativas que se proponen la que colocada en lugar del signo de interrogación complete la secuencia. 4 ; 1; 5 ; 6 ; 11; ?
A) 16
B) 12
C) 13
D) 15
E) 17
Rpta.: "E"
PREGUNTA 28:
Carmen, Eduardo, José, María y Natalia son estudiantes universitarios. Cada estudiante sigue solamente una de las siguientes carreras: Contabilidad, Derecho, Educación, Ingeniería y Medicina, pero no necesariamente en ese orden. Además, cada estudiante practica como deporte solo una de las siguientes disciplinas: Karate, Kung Fu, Judo, Taekwondo y Tai Chi. Se sabe que:
– Natalia, estudiante de Medicina, es enamorada del que estudia Ingeniería y no practica Judo.
– El que estudia Ingeniería practica Karate y es primo de José.
– María y José no practican Tai Chi.
– José estudia Educación y no practica Judo.
– Carmen estudia Contabilidad y practica Kung Fu.
¿Quién practica Tai Chi?
A) Carmen
B) Eduardo
C) José
D) Natalia
E) María
Rpta.: "D"
PREGUNTA 29:
Un camino se puede recorrer en 5 horas con cierta velocidad en Km. por hora. El camino se puede recorrer en una hora menos, aumentando en un Km. por hora, la velocidad. ¿Cuál es la longitud del camino en Km?
A) 30
B) 20
C) 25
D) 40
E) 24
Rpta.: "B"
PREGUNTA 30:
Dado un rectángulo de 24 m² de área, hallar el área de otro rectángulo cuya base es 3 veces la base del primero y su altura es la mitad de la altura original.
A) 72 m²
B) 12 m²
C) 18 m²
D) 30 m²
E) 36 m²
Rpta.: "E"
RAZONAMIENTO VERBAL
SINÓNIMOS
Descubre para cada palabra una sola alternativa de respuesta.
PREGUNTA 31:
PROVISIONAL
A) Intermitente
B) Transitorio
C) Reservado
D) Modificable
E) Incapaz
Rpta.: "B"
PREGUNTA 32:
OPTIMISTA
A) Alegre
B) Pesimista
C) Triste
D) Agradecer
E) Reservado
Rpta.: "A"
PREGUNTA 33:
DESVIAR
A) dirigir
B) orientar
C) encauzar
D) doblar
E) Completar
Rpta.: "D"
PREGUNTA 34:
LODAZAL
A) desértico
B) paraíso
C) pedregal
D) pantano
E) Coposo.
Rpta.: "D"
PREGUNTA 35:
Copioso
A) Copia.
B) Coposo.
C) Capcioso.
D) Abundante.
E) Imperante.
Rpta.: "D"
ANTÓNIMOS
Descubre el término que se entiende como antónimo , en cada caso :
PREGUNTA 36 :
CAUTO
A) Desordenado.
B) Imprudente.
C) Negligente.
D) Arrebatado.
E) Aspirante
Rpta.: "B"
PREGUNTA 37:
PERSEVERANTE
A) Inseguro.
B) Aspirante.
C) Plural
D) Injusto.
E) Indeciso
Rpta.: "E"
PREGUNTA 38 :
CONVENIO
A) Pacto.
B) Grosero.
C) Desavenencia.
D) Aliado.
E) Lego
Rpta.: "C"
PREGUNTA 39:
DIÁFANO
A) claro
B) manifiesto
C) Celestial
D) destacado
E) lóbrego
Rpta.: "E"
PREGUNTA 40:
SACRÍLEGO
A) Convicto
B) Avaro
C) Creyente
D) Fanático
E) Orate
Rpta.: "C"
ANALOGÍAS
Tomando como referencia la base escrita, elija la opción que presenta una relación análoga.
PREGUNTA 41 :
MÚSICA : PARTITURA ::
A) Boceto : dibujo
B) Diseño : cuadro
C) Esquema : secuencia
D) Baile : coreografía
E) Etapas : época
RESOLUCIÓN :
TEMA : ANALOGÍAS
La analogía propuesta sería del tipo: finalidad - medio. Mediante la partitura se interpreta la música; así como mediante la coreografía se interpreta el baile.
Rpta.: D
PREGUNTA 42 :
RASCACIELOS : ALTITUD ::
A) Torre : torreón
B) Valle : fertilidad
C) Abismo : profundidad
D) Barco : altamar
E) Casa : lujo
RESOLUCIÓN :
TEMA : ANALOGÍAS
El par base RASCACIELOS: ALTITUD tiene la relación ‘objeto-característica’. Según lo anterior:
Alternativa A: Se descarta, pues la relación es de cogeneridad.
Alternativa B → Tiene la relación objeto-característica.
Alternativa C → Tiene la relación objeto-característica.
Alternativa D → Se descarta, pues la relación es de objeto-lugar.
Alternativa E → Se descarta, pues la casa no se caracteriza por el lujo.
Entre B y C nos inclinamos por la C, por naturaleza, ya que se trata de una dimensión similar a la base.
Rpta. : "C"
PREGUNTA 43:
Pintura : Color.
A) Música - Nota.
B) Arte - Sombrero.
C) Agua - Oxígeno.
D) Escultura - Pared.
E) Colegio : Educación
Rpta.: "A"
PREGUNTA 44:
EMPRESA : GERENTE
A) Justicia : juez
B) Congreso : congresista
C) Ministerio : funcionario
D) Barco : capitán
E) Carpa : circo
Rpta.: "D"
PREGUNTA 45:
PINTOR : COLOR
A) Futbolista : estadio
B) Escultura - Pared.
C) Artista : cuadro
D) Agua : bombero
E) Músico : sonido
Rpta.: "E"
ORACIONES INCOMPLETAS
Marque la alternativa correcta, que completa la oración.
PREGUNTA 46 :
Todos los sistemas se han __________ para hacer los más manejables por los ____________
A) eliminados - conocidos
B) facilitado - expertos
C) simplificado - usuarios
D) reducido - ingenieros
E) prólogo - diálogo
Rpta.: "C"
PREGUNTA 47 :
La inmediata ______de los pobladores ______una tragedia mayor.
A) intervención - facilitó
B) actuación - predijo
C) evacuación – evitó
D) reproducción – motivó
E) torpeza - insultar
Rpta.: "C"
PREGUNTA 48:
La amabilidad con que fueron recibidos los adversarios, hacía ________que la contienda se efectuaría con ________
A) esperar – lealtad
B) suponer - violencia
C) confiar – vehemencia
D) temor – denuedo
E) implica - respuesta
Rpta.: "A"
PREGUNTA 49:
La ............ es una virtud, cuando se necesitan .......... meditadas.
A) astucia – leyes
B) prisa – definiciones
C) osadía – reglamentaciones
D) paciencia – decisiones
E) actuación - predijo
Rpta.: "D"
PREGUNTA 50:
En la vida, ningún éxito es posible .............. te vuelves .................levantar después de la caída.
A) sino – para
B) si no – a
C) si – a
D) como – a
E) si – No
Rpta.: "B"
CONECTORES LÓGICOS
Marque la alternativa correcta.
PREGUNTA 51 :
Estar en las musarañas significa “estar despistado”, ________ la clave para entender el origen de la expresión se encuentra en la obra de 1611 en la que indica que las musarañas eran unas nubecillas que imaginamos en el aire; ________, si las musarañas son nubes, estar en la musarañas es lo mismo a estar en las nubes.
A) aunque - no obstante
B) pero - entonces
C) al contrario - en cambio
D) sino - porque
E) luego - puesto que
RESOLUCIÓN :
Los términos que enlazan las proposiciones de esta oración compuesta son dos conjunciones: concesiva y consecutiva; sin embargo, el conector pero (adversativo) en este ejercicio se entiende como concesivo por el contexto.
Rpta.: B
PREGUNTA 52 :
…………. actúas como piensas……….jamás te arrepentirás…….. siempre serás consciente de tus actos.
A) Si - pues - porque
B) Si - aún cuando - inclusive
C) Y - por último - en efecto
D) Si - entonces - pues
E) dado que - o - es decir a
Rpta.: "D"
PREGUNTA 53:
Yo trabajo porque me gusta lo que hago; ellos,………… solo quieren ganar dinero lo más rápido posible.
A) en cambio
B) en conclusión
C) así que
D) por lo tanto
E) para
Rpta.: "A"
PREGUNTA 54:
Esa empresa perdió la licitación…………. no tuvo un buen representante……….el expediente técnico en regla;…….. nuestro juicio, era la mejor alternativa.
A) ya que - y - si
B) porque - ni - no obstante a
C) dado que - o - es decir a
D) pues - o - más
E) Si - entonces - pues
Rpta.: "B"
PREGUNTA 55:
Investigó, es posible …… que hará un buen trabajo.
A) también
B) por ello
C) para
D) es decir
E) así que
Rpta.: "B"
TÉRMINOS EXCLUÍDOS
Indique la palabra que no corresponde.
PREGUNTA 56:
QUEBRADIZO
A) Esquivo
B) Endeble
C) Delicado
D) Ligero
Rpta.: "A"
PREGUNTA 57:
ABUELO
A) Padre.
B) Tío.
C) Primo.
D) Familia.
Rpta.: "D"
PREGUNTA 58:
PERMISO
A) Autorización.
B) Consentimiento.
C) Denegación.
D) Licencia.
Rpta.: "C"
PREGUNTA 59:
PRACTICAR
A) Profesar
B) Ejercer
C) Reiterar
D) Desempeñar
Rpta.: "C"
PREGUNTA 60:
CAÑAZO
A) caña.
B) pisco.
C) ron.
D) aguardiente.
Rpta.: "A"
PLAN DE REDACCIÓN
Ordene correctamente las oraciones relacionado con el tema del título.
Marque la alternativa correcta.
PREGUNTA 61 :
I. Cuando leemos encontramos textos ya organizados y con una estructura propia.
II. Es decir, formulamos nuevas ideas que no están en el texto y que hallamos por nuestra propia cuenta.
III. Más aún, podemos incorporar modificaciones producto de nuestra reflexión.
IV. Si el texto comienza con una anécdota y, basándose en ella, presenta algunas conclusiones, nosotros podemos prescindir de la anécdota y asumir solo las conclusiones.
V. A partir de esta estructura, nosotros podemos organizar una nueva en la cual, ordenen los contenidos que vamos aprehendiendo. ¿Cuál de las alternativas es la correcta?
A) I - V - III - II - IV
B) I - IV - V - II - III
C) III - V - I - II - IV
D) I - V - IV - III - II
E) I - III - V - II - IV
RESOLUCIÓN :
Iniciamos con la U.I. (I) y continua con la referencia de estructura en la U.I. (V), se enlaza al concesivo en (III). Realiza una explicación en la U.I. (II) para finalizar en la U.I. (IV) con una conclusión condicionada.
Rpta. : "A"
PREGUNTA 62 :
CONTAMINACIÓN ACÚSTICA
I. También se incrementan los problemas acústicos entre los jóvenes por escuchar música en conciertos con sonidos superiores en los 100 dB.
II. El tráfico constante hace que millones de residentes soporten estos ruidos.
III. En los últimos treinta años se ha producido un importante incremento del ruido ambiental.
IV. Este incremento en el ruido se debe principalmente a la utilización masiva de vehículos.
V. Ellos deberían ser conscientes del daño irreparable que sonidos entre 120 y 200 dB causan al oído.
A) III - II - I - V - IV
B) III- I - V - II - IV
C) III - IV - II - I - V
D) III - II -V - I - IV
E) III - II - IV - I - V
RESOLUCIÓN :
El texto presenta una estructura secuencial de causa y efecto donde se pone de manifiesto la contaminación acústica y sus diferentes causas como el ruido generado por los vehículos y los conciertos musicales.
Rpta.: C
PREGUNTA 63 :
I. Es el dominio de los uros, gentiles guardianes de la entrada al lago.
II. Navegando por estrechos pasajes que se abren paso entre tupidos totorales se llega a un mundo dorado.
III. La mitología da fe de ello, pues cuenta que los uros estaban ahí antes que el Sol, iluminados tan solo por la Luna y las estrellas.
IV. Se trata de una ciudad de paja seca que flota en el lago Titicaca.
V. Su modo de vida tradicional refleja una identidad ancestral, más antigua que el dios Sol.
A) II - I - IV - III - V
B) I - IV - V - III - II
C) I - III - II - IV - V
D) II - IV - I - V - III
E) III - V - I - IV - II
RESOLUCIÓN :
El texto se organiza a través del criterio de generalidad. Tiene como tema central el mundo dorado de los uros, su ciudad de paja y, luego, va detallando cómo es la vida en aquel mundo. El relato se apoya también en la mitología.
Rpta. : "D"
PREGUNTA 64 :
LA TOMA DE APUNTES
I. El buen estudiante requiere de medios idóneos para optimizar su aprendizaje.
II. La toma de apuntes consiste en establecer un sistema mediante el cual se destaca algo importante, o se hace un comentario pequeño acerca de lo interpretado.
III. La toma de apuntes es un mecanismo eficaz y de gran ayuda en el proceso de aprendizaje.
IV. Esto se logra mediante el subrayado, el asterisco, la nota al margen, la confección de fichas, etc.
A) III - II - IV - I
B) III - IV - II - I
C) I - III – II- IV
D) III - I - II - IV
E) I – II - III - IV
Rpta.: "C"
PREGUNTA 65:
LO QUE DEBE HACER UN AFICIONADO AL FONDISMO
I. Cualquier persona que desee iniciarse en este deporte, debe acercarse a su médico para realizar las pruebas y chequeos que corroboren su perfecto estado de salud.
II. Correr es un acto innato en todos; sin embargo, aprender a hacerlo como un fondista profesional requiere gran responsabilidad.
III. Luego de este primer paso, hay que ir acondicionándose; ello supone establecer una rutina progresiva.
IV. Lamentablemente, al obtener resultados demasiado pronto, la mayoría de los aficionados se emocionan y comienzan a aumentar las distancias cuando aún no están preparados.
A) I - II - III - IV
B) I - IV - III - II
C) I - III - IV - II
D) II - I - III – IV
E) I – II - III - V
Rpta.: "D"
COMPRENSIÓN DE LECTURA
TEXTO
El conocimiento parte de los hechos, los respeta hasta cierto punto y siempre vuelve a ellos. La ciencia intenta describir los hechos tales como son, independientemente de su valor emocional o comercial; la ciencia no poetiza los hechos ni los vende, si bien sus hazañas son una fuente de poesías y negocios.
En todos los campos la ciencia comienza estableciendo los hechos, esta requiere curiosidad, personal de desconfianza, por la opinión prevaleciente y la sensibilidad a Ia novedad.
PREGUNTA 66:
Según la lectura, el científico estudia los objetos:
A) Para evitar alternativas con su estructura objetiva.
B) Analizándolos y captándolos tal como son.
C) Porque busca descubrir las leyes científicas.
D) Alterándole involuntariamente.
E) Para apreciar sus propias operaciones.
Rpta. : "B"
PREGUNTA 67:
El título adecuado es:
A) La ciencia frente a los hechos.
B) Las modificaciones son de Ia ciencia.
C) La estimación científica.
D) Las leyes científicas.
E) La recolección de datos empíricos para Ia ciencia.
Rpta. : "C"
PREGUNTA 68:
La idea principal es:
A) La curiosidad de la ciencia.
B) El análisis científico.
C) La ciencia estudia los hechos.
D) La existencia del mundo para la ciencia.
E) Las tablas constantes para Ia ciencia.
Rpta. : "B"
PREGUNTA 69:
Las hazañas de la ciencia son una fuente de poesías y negocios, significa:
A) Una contradicción comercial y literaria.
B) Una falsedad porque la ciencia no poetiza los hechos ni los vende.
C) Que son un resultado involuntario de las investigaciones científicas.
D) Que los hechos son emoción comercial.
E) Que el científico no debe ser sensible a la novedad comercial.
Rpta. : "C"
PREGUNTA 70:
De acuerdo a la lectura, la teoría científica:
A) Es secundaria porque Ia ciencia se basa en hechos prácticos.
B) Es una herramienta para Ia inteligencia y su aplicación.
C) No es Ia finalidad principal de Ia ciencia.
D) Permite realizar modificaciones en el objeto estudiado y en los enunciados independientes de la subjetividad.
E) Se enriquece con los enunciados independientes de Ia subjetividad.
Rpta. : "E"
PREGUNTA 71:
En cada conversación, cada encuentro, cada abrazo, se impone siempre un pedazo de razón. Y vamos viviendo esta terrible armonía que pone veloz al corazón y vamos viajando en la nube de las horas que va extinguiendo a la emoción.
¿Qué interpretación es cierta, a partir del texto?
A) Mientras más armónicos y compatibles somos, más va creciendo el desinterés.
B) La rutina va minando la pasión entre los dos.
C) La razón se va imponiendo poco a poco a la emoción que ofuscaba a los dos.
D) La conversación determina la razón.
E) La conversación determina la confusión.
Rpta.: "C"
PREGUNTA 72:
“El hábito continuo de soñar despierto, suele llevar la mentira, pues el soñador termina perdiendo conciencia del límite entre la fantasía y la realidad; algunas veces produce visiones y extrañas sensaciones acústicas y a menudo el soñador termina por actuar, según los dictados que brotan de sus sueños”
El autor señala que el hábito continuo de soñar despierto:
A) Promueve un acto voluntario.
B) Es una grave perturbación.
C) Favorece la inspiración artística.
D) Orienta hacia la mentira.
E) Augura un futuro Mejor
Rpta.: "D"
PREGUNTA 73:
“No es la historia la fuente de las experiencias sociales, por el contrario, es el océano donde se han vertido los hechos humanos que fueron seleccionados por su trascendencia. Es el espejo donde la humanidad puede observar sus cualidades y defectos, donde el destino es la más cruel de las bromas y el creador no es el ajedrecista que mueve las piezas de nuestras vidas sino el solitario espectador de una película cuyo fin con tristeza parece presentir.”
La historia se nutre de:
A) Hechos superfluos del hombre.
B) Todo lo que hace el hombre en esta vida.
C) Las experiencias sociales más importantes.
D) La contradicción entre hechos y experiencias.
E) Las Historias medievales
Rpta.: "C"
PREGUNTA 74:
"Los insectos son los animales más abundantes del planeta. Desde hace tiempo se hubieran apoderado del planeta si no fueran devorados todos los días. Sin embargo, estos diminutos seres tienen muchos medios para protegerse. El camuflaje es el recurso más espectacular de los insectos. Algunos engañan a sus enemigos adoptando la apariencia de una especie terrible; a esto se le llama mimetismo. Ciertas mariposas simplemente desaparecen adquiriendo el mismo color de la planta huésped (homocromía). Otros disfrazan su forma con patrones irregulares de colores utilizando el mismo principio que se aplica en el diseño de los uniformes militares".
¿Cuál es la razón por la que los insectos no son aún más numerosos?
A) La limitada capacidad reproductiva
B) Que viven en las plantas
C) Su destrucción cotidiana
D) No pueden pasar desapercibidos
E) Se Preparan para el Apocalipsis
Rpta.: "C"
PREGUNTA 75:
No estoy para responder- respondió Sancho- porque me parece que hablo por las espadas. Subamos y apartémonos de aquí, que yo pondré silencio en mis rebuznos; pero no en dejar de decir que los caballeros andantes huyen, y dejan a sus buenos escuderos molinos como alheña.
No huye el que se retira- respondió Don Quijote- porque has de saber, Sancho, que la valentía que no se funda sobre la base de la prudencia se llama temeridad, y las hazañas del temerario más se atribuyen a la buena fortuna que a su ánimo. Y así, yo confieso que me he retirado pero no huido; y en esto he imitado a muchos valientes que se han guardado para tiempos mejores y de esto están las historias llenas; las cuales, por no serte a ti de provecho ni a mí gusto, no te las refiero ahora
Según Don Quijote, es valiente el que:
A) Se aparta siempre del peligro.
B) Se enfrenta siempre contra cualquier peligro.
C) Confía en su ánimo antes que en su suerte.
D) Sabe medir sus fuerzas frente al peligro.
E) Sabe Soñar y Exagerar
Rpta.: "C"
PREGUNTA 76:
Lea con mucha atención el siguiente texto y responda la pregunta indicada abajo:
“Una empresa dedicada a la exportación de pescado congelado quería lograr igualar el sabor de pescado fresco. Instalaron tanques en sus bolicheras para que los peces sigan vivos hasta llegar a tierra y congelarlos. No funcionó. Si los peces no se movían en los tanques, el sabor no era bueno. Los científicos experimentaron con una serie de hormonas y químicos para lograr el movimiento de los peces. Nada funcionaba. Finalmente, cuando ya no tenían otra idea, el conserje del laboratorio sugirió poner un depredador. Pusieron un pez de mayor tamaño en el estanque. Inmediatamente los peces empezaron a moverse”.
Según el texto, tener un pescado fresco dependía de:
A) El movimiento de los peces.
B) La habilidad del pescador.
C) Congelar el pescado.
D) El pez de mayor tiempo.
E) Clima Lunar
Rpta.: "A"
PREGUNTA 77:
No hay ninguna duda de que la especie humana no podría sobrevivir, ni ahora ni en los años venideros, si la creatividad se extinguiera. Los científicos tendrán que ofrecer nuevas soluciones a la superpoblación, el agotamiento de los recursos no renovables y la contaminación del medio ambiente (o el futuro será realmente feo y breve). A menos que los humanistas encuentren nuevos valores, nuevos ideales que dirijan nuestras energías, es muy posible que una sensación de desesperanza nos impida seguir adelante con el entusiasmo necesario para superar los obstáculos que encontremos en el camino. Nos guste o no, nuestra especie se ha hecho dependiente de la creatividad.
Por decir lo mismo de una manera más optimista en los últimos milenios, la evolución ha pasado de ser casi exclusivamente una cuestión de mutaciones en la química de los genes, a ser cada vez más un asunto de cambios de memes (de la información que aprendemos y a nuestra vez transmitimos a los demás). Si se seleccionan los memes correctos, sobreviviremos; si no, no. Y quienes seleccionan los conocimientos, los valores, las conductas que llevarán a un futuro más brillante o a la extinción, ya no son factores extrínsecos a nosotros, como los depredadores o los cambios climáticos. El futuro está en nuestras manos; la cultura que creamos determinará nuestro destino.
El texto afirma que:
A) La supervivencia de la especie humana es cuestión de optimismo
B) Los científicos han desarrollado una labor eficiente
C) La evolución es una cuestión de mutaciones
D) Las vivencias solo son pasajeras.
E) La creatividad y el conocimiento tienen relación con nuestra supervivencia.
Rpta.: "E"
PREGUNTA 78:
Lea el texto y resuelva lo que se solicita.
En la introducción de su fantástico y revelador libro La Tierra es plana, Thomas Friedman afirma que en los albores del año 2000, “mientras todos estábamos durmiendo, y sin que nos diéramos cuenta, la Tierra se había aplanado”. Lo que en definitiva él nos quería decir con esta brillante metáfora es que la globalización y la hiperconectividad, actuando de forma conjunta durante toda la década de 1990, habían “aplanado el terreno de juego” para todo el planeta, de forma que personas del mundo entero tenían a su disposición una plataforma (representada por la red de redes, internet) que les permitía conectarse, competir y colaborar de forma global independientemente de dónde estuvieran.
Thomas Friedman tuvo su momento de descubrimiento, lo que él llama su “epifanía”, en una visita que realizó a la empresa Infosys, en Bangalore (India), donde de pronto fue consciente de este “aplanamiento” de la Tierra, representado por los miles de ingenieros indios que, trabajando desde la otra punta del mundo, competían y colaboraban de igual a igual con las empresas y los ingenieros del mundo más avanzado.
El autor explica con mayor interés lo siguiente:
A) Las publicaciones de Thomas Friedman
B) Los efectos de la globalización y la hiperconectividad.
C) Las posibilidades comunicativas en el mundo de hoy
D) La nuevas posibilidades laborales de hoy
E) Lo Real de lo Terrenal
Rpta.: "B"
PREGUNTA 79:
“… Yo tomo corno personaje a los jóvenes porque creo que la juventud es un momento esencial en la vida del hombre. Considero que en la vida de todo ser humano hay dos momentos trascendentes: la juventud y el momento cuando una persona entra a los sesenta años. De los dieciséis a los dieciocho se entra en la vida, y eso es una gran aventura. No se conoce nada de la vida y se llega a situaciones límites. Porque tanto el organismo como el psiquismo no han experimentado una serie de cambios. Además, es el momento donde el ser humano tiene que escoger su futuro, su carrera, su novia, todo su proyecto de vida.
La otra etapa terrible en la vida de un hombre es cuando sale de la vida, cuando se pasa de los sesenta años y se dice: "Yo qué he hecho". Mientras el joven se enfrenta a la vida, el viejo se enfrenta a la muerte. Mientras el joven quiere tener la experiencia del viejo como para poder desenvolverse, madurar y desarrollarse perfectamente; el anciano quiere tener la vitalidad del joven, la perspectiva de vida, para en lo posible poder arreglar lo que fue su vida. Claro que en el momento en que escribo "Los inocentes" todavía no tenían una visión tan clara, pero considero, por mi propia experiencia, que en la juventud el ser humano se pone al borde del abismo. Por eso mis personajes siempre están al borde del abismo, por su condición de jóvenes….”
REYNOSO, Oswaldo JOSÉ INGENIEROS
El texto trata esencialmente sobre:
A) Las ventajas y desventajas de dos etapas extremas de la vida humana.
B) La preferencia de temas juveniles en relación a los temas seniles.
C) Las etapas más terribles de la vida de todo literato.
D) El significado de la juventud y la ancianidad para el autor personaje.
E) El mundo Incierto
Rpta.: "B"
PREGUNTA 80:
“… Imposible es reunir en unas líneas el panorama de la conquista española, existen tantos y tantos capítulos marginados hasta este momento en nuestra historia que casi todos los peruanos incluyendo a los más cultos se sorprenden cuando leen que la conquista costó cerca de cien batallas y que quince de ellas fueron ganadas por los soldados del Tahuantinsuyo.
Así mismo, escasas veces se ha tenido en consideración que la conquista, en gran parte, fue obra de los antiguos peruanos, pues numerosas confederaciones indígenas (escasamente cuzqueñizadas al llegar los españoles), se aliaron al conquistador de ultramar, es el caso de los Cañaris, Huancas, Chachapoyas, Yauyos, Chunchas y Yungas en general. No se ha visto todavía el papel desempeñado por los siervos yanacunas, quienes, rebelados contra el poder imperial cuzqueño, se convirtieron en eficaces auxiliares de los europeos; o que todos los delincuentes y bandidos indígenas fueron igualmente, aceptados por los españoles en su lucha contra el régimen incaico…”.
Las confederaciones no incas:
A) Fueron, en cierto modo, socios de los Mayas
B) Se aliaron a los yanacunas.
C) Se unieron a bandidos y delincuentes.
D) Cayeron en el delito de traición a la patria.
E) Fueron, en cierto modo, socios de la conquista española.
Rpta.: "E"
PREGUNTA 81:
SIN PATAS, PERO CON GRANDES RECURSOS: LAS SERPIENTES
Descendiente directo de los grandes reptiles que dominaron la tierra hace unos 70 millones de años, la serpiente está presente en todas las mitologías y creencias religiosas. Este vertebrado – técnicamente un lagarto sin patas – que nunca cierra los ojos y frecuentemente está provisto de poderoso veneno, habita todos los continentes. ¡Esto quiere decir que están por todos lados! Como todos los reptiles, las serpientes tienen sangre fría y escamas. Sus características físicas, y la capacidad de algunas de atacar y matar presas de tamaño mucho mayor que el suyo, han hecho que se les achaque toda clase de vilezas, desde la participación en la película de Adán y Eva. ¿Te acuerdas quién los tentó a comerse la manzana del pecado?
Estrictamente carnívoras, las serpientes están equipadas para la difícil vida de cazador. Así, el cráneo, de forma especial, permite a las serpientes abrir la boca descomunalmente, lo que les posibilita tragar presas varias veces más anchas que ellas. Son animales de digestión muy lenta, capaces de almacenar comida en su intestino por lo que las serpientes pueden pasar mucho tiempo sin comer (las más grandes, medio año). ¡Qué tal aguante!
Unger, Tomás. Temas de ciencia. BNP, diciembre de 1989 (adaptación)
Como todos los reptiles, las serpientes tienen:
A) Patas
B) Pelaje en todo el cuerpo
C) Sangre fría y escamas
D) Alas
E) Ojos y sangre caliente
Rpta.: "C"
PREGUNTA 82:
EL SISTEMA NERVIOSO
El sistema nervioso tiene dos partes: el sistema nervioso central y el sistema nervioso periférico.
El sistema nervioso central está formado por el encéfalo y la médula. Estos órganos se encuentran en el interior del cráneo y la columna vertebral, respectivamente, por lo que están especialmente bien protegidos. En el caso del encéfalo existe también un líquido llamado “cefalorraquídeo”, que lo rodea y actúa como colchón entre ese órgano y los huesos del cráneo.
El sistema nervioso periférico, por su parte, está formado por los nervios. Estos, a su vez, están integrados por los axones de neuronas. Según su procedencia, los nervios se pueden clasificar en craneales (unidos al encéfalo) y raquídeos (unidos a la médula).
¿Cuáles son las dos partes del sistema nervioso?
A) El hemisferio derecho y el hemisferio izquierdo.
B) El sistema nervioso central y el sistema nervioso periférico.
C) Las neuronas y el líquido cerebral.
D) La médula y el cráneo.
E) El cerebro y Piernas
Rpta.: "B"
PREGUNTA 83:
“Uno de los fenómenos naturales potencialmente más destructivos, es el llamado Tsunami. Conocida desde tiempos remotos como “marejada” o gran “maretazo” en diversos idiomas, este fenómeno no tiene ninguna relación con la marea ni con el oleaje normal del mar; por estándar los oceanógrafos y sismólogos adoptaron la palabra japonesa Tsunami, probablemente antes de saber que su significado es exactamente el mismo “maretazo”. A medida que la técnica ha permitido ir conociendo el mecanismo de las olas y los efectos de los movimientos sísmicos se ha ido descifrando la mecánica del Tsunami, ola gigante – en verdad, una serie de olas- que causado destrozos en las costas de todos los continentes a través del tiempo.
Tal vez la más conocidas de las catástrofes producidas por los Tsunamis, fue la que siguió a la explosión volcánica de la isla Krakatoa en 1883, la ola viajó por el pacífico a 500 Km por hora, devastando las costas de Java y Sumatra. Olas de 30 y 40 metros de altura destruyeron poblaciones integras matando a más de 36 mil personas, Aunque sin las proporciones cataclísmicas, el Tsunami de Krakatoa llegó hasta San Francisco EEUU”.
¿Un Tsunami es?
A) Un fenómeno natural muy destructivo.
B) Una marejada o maretazo.
C) Un oleaje normal del mar.
D) Un término de origen incierto.
E) Una Ola Débil
Rpta.: "A"
PREGUNTA 84:
“El objeto de la Lógica es enseñarnos a conocer la verdad. La Lógica natural es la disposición que la naturaleza nos ha dado para conocer la verdad.
Esta disposición puede perfeccionarse con reglas fundadas en la razón y en la experiencia, no todas las verdades se deben buscar por un mismo método. Quién discurra del mismo modo en las ciencias morales y en las matemáticas; en las de observación que en las exactas; quién busque la verdad en la literatura y en las bellas artes, por el mismo método que en las ciencias, incurrirá en gravísimos errores, cada orden de verdades requiere un método especial del que no se puede prescindir.
Los escritores eminentes enseñan, no solo por lo que dicen, sino también por lo que hacen pensar. El espíritu se nutre con la doctrina que le comunican y se despierta y desarrolla por las reflexiones que le inspiran, “non multa sed multum”: se ha de leer mucho, pero no muchos libros; esta es una regla excelente; es preciso sujetarse primero al estudio de una obra elemental, para dedicarse en seguida a la lectura de las magistrales”.
De acuerdo al texto
A) La lógica natural se opone a la lógica matemática.
B) El conocimiento de la verdad se puede derivar de la capacidad que nos otorga la lógica natural.
C) La capacidad o disposición que nos da la lógica es completa y perfecta.
D) Sólo se enseña en base a lo que se dice.
E) La lógica natural se opone a la lógica Divina.
Rpta.: "B"




































