TRIGONOMETRÍA CATÓLICA DESARROLLADA
PREGUNTA 41 :
Los ángulos internos de un triángulo miden 64° y 52°. Calcule la mayor diferencia de sus ángulos en radianes.
A) 𝛑/20 rad
B) 𝛑/15 rad
C) 𝛑/10 rad
D) 𝛑/5 rad
RESOLUCIÓN :
Rpta. : "B"
PREGUNTA 44 :
De la figura mostrada, calcule: "tgθ"
A) √2
B) √3
C) √3/3
D) √2/2
RESOLUCIÓN :
Rpta. : "D"
PREGUNTA 45 :
Determine la expresión que nos dé el área de la región sombreada en función de a y α.
RESOLUCIÓN :
Rpta. : "A"
PREGUNTA 46 :
Del gráfico, se sabe que AD=2DC, además F es punto medio de AB, calcule el Senα
A) 0,4
B) 0,5
C) 0,6
D) 0,75
RESOLUCIÓN :
Rpta. : "C"
PREGUNTA 47 :
Si tanα=11/29
Calcule el valor de:
A) 29/11
B) 11/29
C) – 1
D) 1
RESOLUCIÓN :
Rpta. : "C"
PREGUNTA 48 :
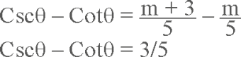
Según el gráfico, calcule Cscθ – Cotθ.
A) 1/5
B) 2/5
C) 3/5
D) 4/5
RESOLUCIÓN :
Rpta. : "C"



















