UNCP ÁREA II EXAMEN 2023-2 INGRESO A LA UNIVERSIDAD DEL CENTRO SOLUCIONARIO RESPUESTAS PDF
CLAVES – RESPUESTAS :
1)B 2)E 3)A 4)D 5)B 6)C 7)B 8)E 9)A 10)C 11)A 12)D 13)B 14)A 15)D 16)D 17)C 18)D 19)D 20)C 21)E 22)E 23)C 24)C 25)E 26)D 27)A 28)A 29)B 30)B 31)C 32)B 33)D 34)A 35)E 36)B 37)D 38)A 39)C 40)C 41)E 42)C 43)A 44)C 45)A 46)A 47)C 48)B 49)C 50)E
PREGUNTA 1 :
Si la razón de la suma con la diferencia de 2 números enteros positivos es 5/3, ¿cuál es el número mayor, si su producto es 64?
A) 24
B) 16
C) 32
D) 48
E) 64
RESOLUCIÓN :
PREGUNTA 2 :
Si la ecuación x²+x–3= 0 tiene por raíces a m y n, determina el valor de m³+n³
A) 10
B) 12
C) –12
D) –10
E) –9
RESOLUCIÓN :
Usando las propiedades de suma y producto de las raíces (Cardano):
m+n= –1
mn= –3
Elevamos al cubo. (m+n)³= (–1)³
Se obtiene m³+n³+3mn(m+n) = –1
Reemplazamos :
m³+n³+ 3(–3)(–1) = –1⇒m³+n³+9= –1
⇒ m³+n³= –10
PREGUNTA 4 :
Se reparte 738 en forma directamente proporcional a dos cantidades de modo que ellas están en la relación de 32 a 9. Calcula la suma de las cifras de la cantidad menor
A) 7
B) 11
C) 9
D) 8
E) 10
RESOLUCIÓN :
PREGUNTA 5 :
Sabiendo que una de las raíces de la ecuación
3x³–ax²+bx+14=0
es (1−√3), calcule el valor de a+ b
A) 21
B) 19
C) 18
D) 16
E) 17
RESOLUCIÓN :
PREGUNTA 6 :
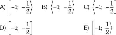
Al resolver el sistema:
x²+x+1 ≤ x+50 < x²– 3x+50
Cuya solución tiene la forma: [a; b〉∪〈c; d]
Determina el valor de: M=a+b+c+d
A) 8
B) 6
C) 7
D) 5
E) 4
RESOLUCIÓN :
PREGUNTA 7 :
En la siguiente tabla se dan los tiempos de utilización de la computadora por 300 profesores de la universidad.
Halla el mayor tiempo de utilización del 25% que usan menos tiempo la computadora.
A) 43,5
B) 45,5
C) 35,5
D) 35,0
E) 45,0
RESOLUCIÓN :
PREGUNTA 8 :
¿Cuántos números enteros tienen como raíz cuadrada a 155?
A) 311
B) 312
C) 310
D) 313
E) 309
RESOLUCIÓN :
PREGUNTA 10 :
Calcula el determinante de A.
Si A=2C–3B
Siendo
A) 110
B) 111
C) 109
D) 113
E) 112
RESOLUCIÓN :
PREGUNTA 11 :
Luego de medir las estaturas de un grupo de estudiantes se obtuvo el siguiente gráfico:
Halle la mayor estatura del 20 % con menor talla.
A) 158
B) 156
C) 155
D) 156,5
E) 159
RESOLUCIÓN :
PREGUNTA 12 :
Se tiene un terreno de forma triangular ABC de 30 m² de área, AB=3 m y AC=7 m, se traza la bisectriz interior AP.
Halla el área de la región triangular APC.
A) 16 m²
B) 18 m²
C) 19 m²
D) 21 m²
E) 17 m²
RESOLUCIÓN :
Rpta. : "D"
PREGUNTA 13 :
En la figura TP=7 cm y T es punto de tangencia.
Calcula MT en cm.
A) 8√2
B) 5√2
C) 7√2
D) 6√2
E) 9√2
RESOLUCIÓN :
Rpta. : "C"
PREGUNTA 14 :
Un terreno tiene la forma de un trapecio donde AB y BC miden 50 y 40 metros.
Calcula el área del terreno en m².
A) 3200
B) 3000
C) 2800
D) 3400
E) 2600
RESOLUCIÓN :
Rpta. : "B"
PREGUNTA 16 :
En la circunferencia trigonométrica el valor de θ= 2𝛑/3
Calcula el área de la región rectangular ABCD.
A) 2 + √3/2
B) 1 + √3/4
C)2 + √3/3
D) 1 + √3/3
E) 1 + √3/2
RESOLUCIÓN :
Rpta. : "E"
PREGUNTA 17 :
Determina el valor de x para que verifique la igualdad:
donde: θ ∈ IIC
A) 〈–3; 2〉
B) 〈–3; –2〉
C) 〈–2; 3〉
D) 〈–2; +∞〉
E) 〈3; +∞〉
RESOLUCIÓN :
Rpta. : "B"
PREGUNTA 18 :
Dado y= cosx
Determine el intervalo de y.
RESOLUCIÓN :
Rpta. : "A"























