OPERADORES MATEMÁTICOS EJERCICIOS BÁSICOS RESUELTOS PDF
**
Ver PDF
Ver VIDEOS
PREGUNTA 1 :
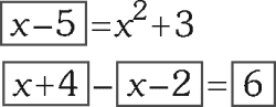
Dados los operadores definidos mediante:
Halle el valor positivo de m en la ecuación
A) 5
B) 8
C) 1
D) 2
E) 10
RESOLUCIÓN :
Rpta. : "B"
PREGUNTA 2 :
Dados dos operadores definidos mediante
A) 20
B) 0
C) –20
D) –42
E) –36
RESOLUCIÓN :
Rpta. : "D"
PREGUNTA 4:
Si:
u → t =2u+ t
u ↑ t =2t +u
u ← t =4t –1
u ↓ t = 1– 4u
Determine el valor de x en la ecuación
(5 ← x)–[(5 → x) + (5 ↑ x) + (5 ↓ x)]=5
A) 0
B) 1
C) 2
D) 3
E) 4
Rpta. : "C"
PREGUNTA 5 :
Si definimos el operador *, entre los números reales, por *(a + b) = a + *(b), tal que *(3) = 5, entonces el valor de la expresión *(20) es:
A) 20
B) 21
C) 22
D) 23
E) 24
RESOLUCIÓN :
Utilizamos la regla del operador ∗ :
∗ (𝑎 + 𝑏) = 𝑎 + ∗ (𝑏)
∗ (3) = 5
Descomponemos: 20 = 17 + 3
Luego ∗ (20) = ∗ (17 + 3) = 17 +∗ (3)
= 17 + 5 = 22
Rpta. : "C"
PREGUNTA 6:
Definidos los operadores matemáticos por
Determine el valor de x^m
A) 0
B) 1
C) 2
D) 3
E) 4
RESOLUCIÓN :
Rpta. : "E"
OPERACIONES MATEMÁTICAS ARBITRARIAS EN HABILIDAD LÓGICA MATEMÁTICA TEORÍA Y PREGUNTAS DESARROLLADAS
CRITERIO PARA RESOLVER PROBLEMAS
1) Identificar el Operador y la regla como operar.
2) Aplicar la regla dada a lo pedido.






























